Программная разработка библиотеки процедур в среде Maple – как фактор развития умений программирования

Новая педагогика » Развитие умений программирования c использованием пакета Maple при обучении информатике на профильном уровне » Программная разработка библиотеки процедур в среде Maple – как фактор развития умений программирования

Страница 2

Решение уравнений, неравенств и их систем;

Двумерная графика;

Исследование функции и построение графика;

Решение геометрических задач.

Итоговым результатом является проектная работа каждого учащегося. Зачетные работы оформляются в виде Web-документов.

Опыт работы был представлен 20 декабря 2006 года на городском научно-практическом семинаре "Самореализация личности школьника в условиях профильного обучения", проводившийся на базе школы № 161 г. Казани, а также на VIII Международной конференции "Системы компьютерной математики и их приложения", которая состоялась 14—16 мая 2007 г. в Смоленском государственном университете.

Тема урока: Тригонометрические уравнения в Maple

Дидактическая цель: Научить решать тригонометрические уравнения в Maple Задачи образования:

Задачи обучения:

Знать\Понимать:

-Виды уравнений, которые можно решать в Maple

-Способы решения уравнений в Maple

-Реализацию решения уравнений в Maple

-Уметь:

-решать тригонометрические уравнения

- Исследовать:

-Процесс решения уравнений в Maple

Задачи воспитания

- Воспитывать бережное отношение к технике, ответственность за результаты своей работы. Уметь доводить начатое дело до конца.

Задачи развития

- внимательность, память и речь

-творческие способности;

Тип урока: объяснительно иллюстративный

Основная форма организации обучения на уроке: фронтальная, индивидуальная

Средства обучения: Компьютерный класс, пакет MS Office

Список используемой литературы и школьных учебников:

Математика на компьютере: Maple 8. О.А. Сдвижков

Этапы урока

Деятельность учителя

Деятельность учеников

1. Организационный момент. (2 мин.)

Здравствуйте, ребята! Достаньте тетради.

Ученики: Здороваются

Достают тетради. Располагаются за партами.

2. Подготовка к введению нового материала.(3 мин.)

Запишите тему урока: "Тригонометрические уравнения в Maple"

На прошлом уроке, мы познакомились с темой алгебраические уравнения математического пакета Maple, научились решать уравнения. На этом уроке мы узнаем какие встроенные функции есть и как их использовать.

Записывают тему

Слушают учителя

3. Введение нового материала(35 мин.)

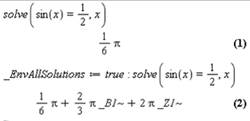
До тех пор пока не установлено (набрано) _EnvAllSolutions:=true, встроенная функция solve возвращает пользователю только одного представителя корней заданного тригонометрического уравнения. После данной команды она возвращает все множество корней для каждого тригонометрического уравнения

Форма ответа – необычная, но корни уравнения найдены правильно. Здесь и далее, независимо от индекса , переменная _В принимает значения из множества {0,1}, а значения _Z принадлежат множеству целых чисел. В чем нетрудно убедится с помощью встроенной функции принадлежности about. Таким образом, полученное множество корней уравнения можно разделить на две серии и записать в привычном виде

А тригонометрические уравнения, содержащие модуль, не решаются или выдается неполный ответ, но если модуль вводить через квадратный корень, используя формулу , то решения идеальные.

Выполняют предложенные операции за своими компьютерами.

4.Закрепление материала (4 мин).

Решить тригонометрическое уравнение:

Устно задают вопросы.

5. Объявление домашнего задания(0 мин).

Не задано.

6.Подведение итогов.(1мин).

На этом уроке мы рассмотрели как можно решать тригонометрические уравнения пакета Maple, увидели необычную форму ответа и смогли ее понимать.

На следующем уроке мы познакомимся с неравенствами.

Тема урока: Решение неравенств в Maple

Дидактическая цель: Научить решать неравенства в Maple

Задачи образования:

Задачи обучения:

Знать\Понимать:

Страницы: 1 2 3 4


Прочие статьи:

Современная практика школ М. Монтессори
Первый детский сад по системе Марии Монтессори в России начал работать в 1913 году. Однако в 1926 года Наркомпрос запретил использовать в тогдашнем СССР ее методику, и имя ее было предано забвению. Новая история Монтессори-педагогики в России началась лишь в 1991 году, после образовательного фести ...

Анализ урока учителем изобразительного искусства
В. А. Сухомлинский считал, что, если учитель вдумчиво анализирует свою работу, у него не может не возникнуть интереса к теоретическому осмыслению своего опыта, стремления объяснить причинно-следственные связи между знаниями учеников и своей педагогической культурой. Логическое следствие анализа уч ...

Особенности уроков математики по системе Л.В. Занкова
Остановимся в данной статье на особенностях учебника математики И.И. Аргинской, который как показала наша практика, вызывает определенные затруднения у учителей. Главными задачами изучения математики в системе являются: - достижение оптимального результата в общем развитии каждого школьника, его ...

Меню сайта

Copyright © 2025 - All Rights Reserved - www.rankpedagogy.ru